• Если не трудно, помогите, для меня это очень важно, сделайте по совести , и т. д, как полагается:
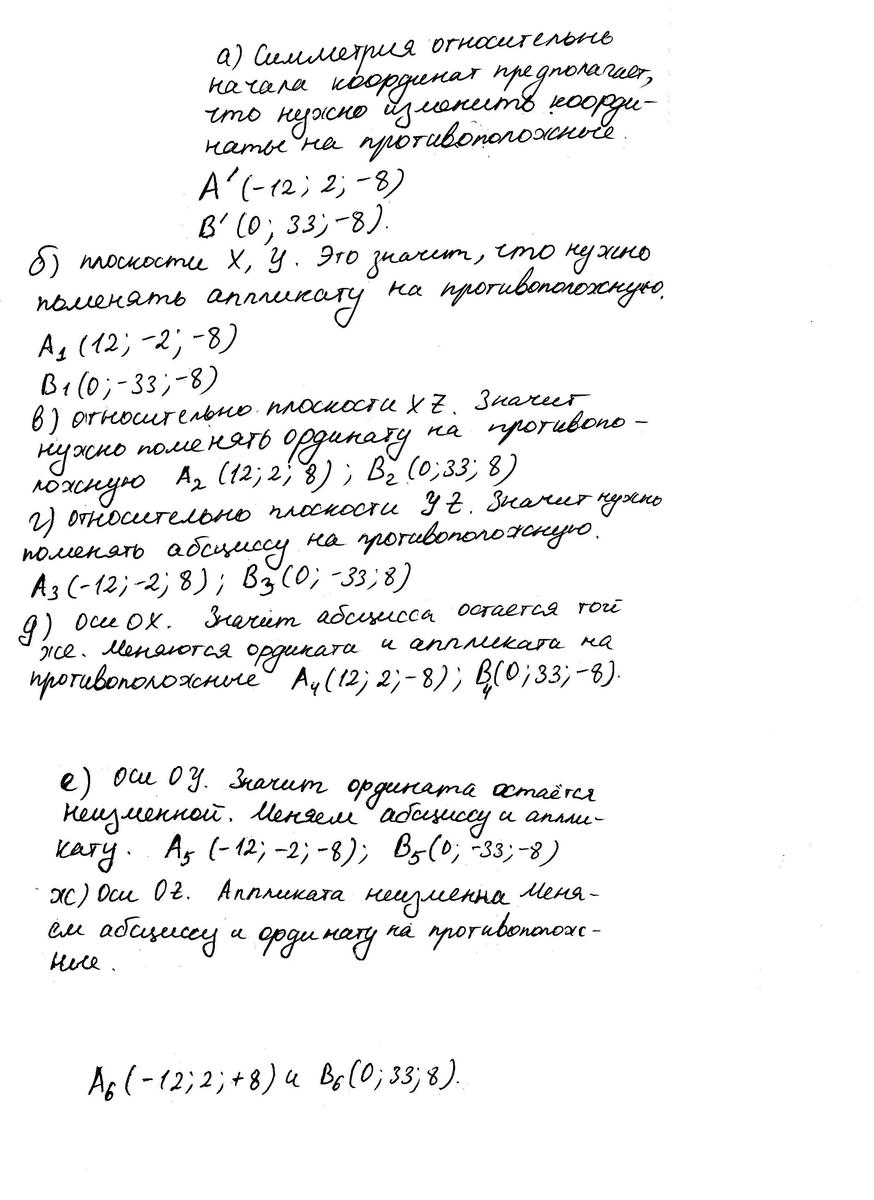
    1)Записать координаты точек , симметричных точкам относительно :а) начала координат ; б) плоскости XY ; в) плоскости XZ ; г) плоскости YZ; д) оси ОX ; е) оси ОY ; ж) оси ОZ
    А(12;-2;8)
    В(0;-33;8)

Ответы 1

  • Решение в приложениях
    answer img
    answer img
    • Автор:

      kosmo9fpt
    • 2 года назад
    • 2
  • Добавить свой ответ

Войти через Google

или

Забыли пароль?

У меня нет аккаунта, я хочу Зарегистрироваться

How much to ban the user?
1 hour 1 day 100 years