• Помогите решить, вопрос из экзамена
    Тема:Показательные и логарифмические уравнения
    Пример:
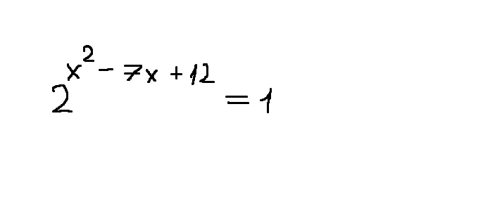
    2^x^2-7x+12=1

    question img

Ответы 3

  • 2^0 Откуда взяли это?
  • это 1 равна 2 в степени 0
    • Автор:

      smoke14
    • 6 лет назад
    • 0
  • 2^(x^2-7x+12)=12^(x^2-7x+12)=2^0x^2-7x+12=0D=(-7)^2-4*1*12=1x1=(7+1)/2=4x2=(7-1)/2=3
  • Добавить свой ответ

Войти через Google

или

Забыли пароль?

У меня нет аккаунта, я хочу Зарегистрироваться

How much to ban the user?
1 hour 1 day 100 years