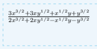
• упростив выражение , вычислите его значение при условии, что х/у =3

    question img

Ответы 2

  • ответ правильный ) но я 1 строчку не понял как ты все решили (√)-?
    • Автор:

      corey8hj5
    • 6 лет назад
    • 0
  • корень из х это тоже самое что х в степени 1/2в начале мы вынесли 3х за скобку в скобках получилось х в степени 1/2 + у в степени 1/2 и так далее
    • Автор:

      staruiov
    • 6 лет назад
    • 0
  • Добавить свой ответ

Еще вопросы

Войти через Google

или

Забыли пароль?

У меня нет аккаунта, я хочу Зарегистрироваться

How much to ban the user?
1 hour 1 day 100 years