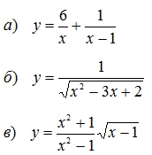
Найти области определения функций:
помогите решить пожалуйста картинка снизу
Предмет:
МатематикаАвтор:
mona26а) X=/=0 и
X-1=/0
б) x^2 -3x+2>=0
x=-1
x=3
x принадлежит [-1;3]
в) x-1>=0 или
x^2-1=/=0
=/= — не равно!
Автор:
dumbledorejaa1a) x/=0 x/ =1 xe(-oo.0)U(0.1)U(1.+oo)
б) x^2-3x+2>0 x<1 x>2 xe(-oo.1)U(2.+oo)
в) x^2-1/=0 x-1>0 x/=-1 x/=1 x>=1 xe(1.+oo)
Автор:
ubaldofv3mДобавить свой ответ
Помогите, чем сможете!
1. tg (arccos 2/3);
2. tg (arcctg 11/14)
3. y=arcsin (3 - x в квадрате) (область определения)
4. y=arcctg 5/x-1 (x-1 под корнем) (Область определения)
5. y=3-4arctg 4x (область значений)
Предмет:
АлгебраАвтор:
rugerwallerОтветов:
Смотреть
средняя квадратичная скорость молекул газа 700 м/с. определить массу газа, если при давлении 4МПа, он занимает объем 0,55 м^3
Предмет:
ФизикаАвтор:
nibbysolomonОтветов:
Смотреть
год путь в Индийский океан вокруг Африкии год морской путь в Индию
Предмет:
ИсторияАвтор:
marquisrichardОтветов:
Смотреть
Ребятки помогите найти сумму целочисленных решений неравентсва [tex]\frac{2x - 5}{(x + 6)log_{2}x} < 0[/tex]