• х в квадрате -9 /3х-9 помогите решить ( по формуле)

Ответы 1

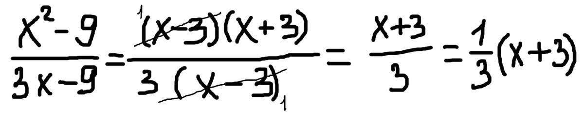
  • Решение во вложении. В числителе дроби использовали формулу сокращённого умножения: а² - в² = (а - в)(а+в). В знаменателе вынесли общий множитель, 3, за скобку.Sunny Storm (Darknight)
    answer img
    • Автор:

      leeq5ur
    • 2 года назад
    • 6
  • Добавить свой ответ

Войти через Google

или

Забыли пароль?

У меня нет аккаунта, я хочу Зарегистрироваться

How much to ban the user?
1 hour 1 day 100 years