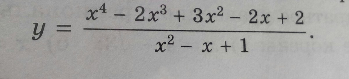
• Объясните ПОЖАЛУЙСТА как найти наименьшее значение этой функции. (фото во вложении)

    question img

Ответы 2

  • Ответ верный конечно, но мы еще производную не прошли((( Нам сказали без нее решить.. Не могли бы вы объяснить, пожалуйста?
    • Автор:

      archie
    • 6 лет назад
    • 0
  • РешениеНайти наименьшее значение этой функцииy = (x^4-2*x^3+3*x^2-2*x+2)/(x^2-x+1)Решение во вкладыше
    answer img
  • Добавить свой ответ

Войти через Google

или

Забыли пароль?

У меня нет аккаунта, я хочу Зарегистрироваться

How much to ban the user?
1 hour 1 day 100 years