• Помогите решить, пожалуйста!
    Заранее благодарю!

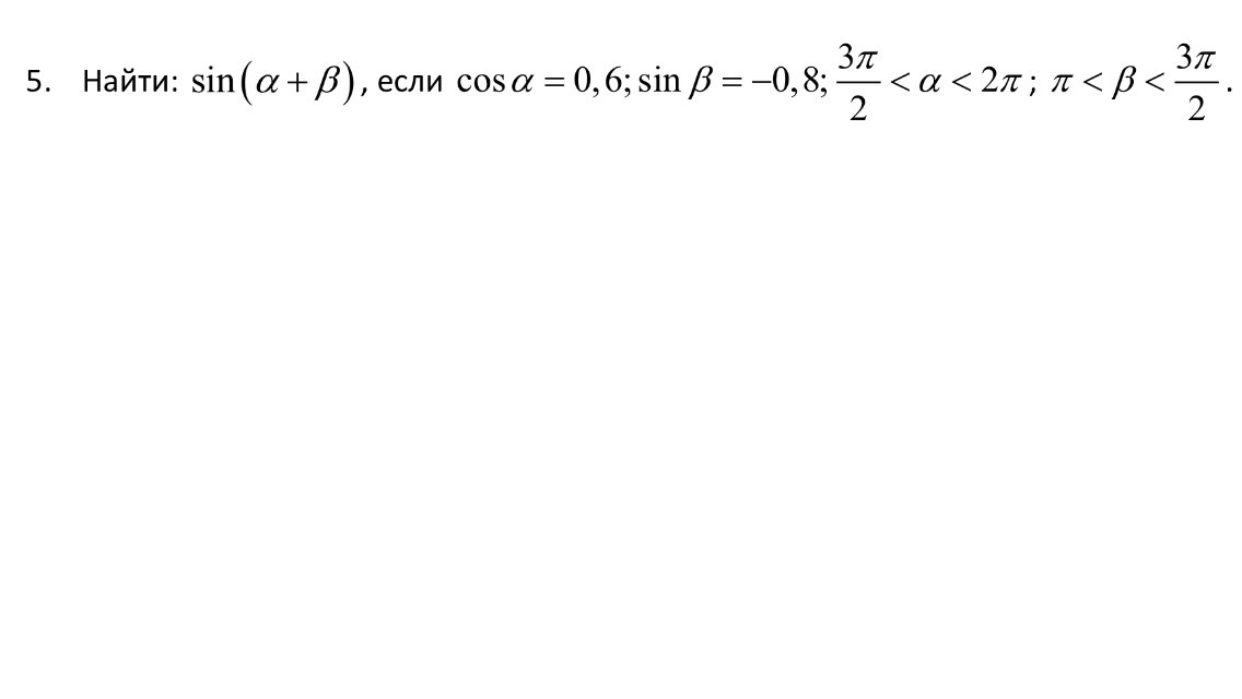
    question img

Ответы 3

  • почему там, где cosb=-корень?
    • Автор:

      césar48
    • 6 лет назад
    • 0
  • все, поняла с:
    • Автор:

      hill
    • 6 лет назад
    • 0
  • Решениеsin(α + β) = sinαcosβ + cosαsinβcosα = 0,6sinβ = - 0,83π/2 < α < 2ππ < β < 3π/2sinα = - √(1 - cos²α) = - √(1 - 0,36) = - √0,64 = - 0,8cosβ = - √(1 - sin²β) = - √(1 - 0,64) = - √0,36 = - 0,6sin(α + β) = (- 0,8) * (- 0,6) + 0,6 * (- 0,8) = 0,48 - 0,48 = 0
  • Добавить свой ответ

Войти через Google

или

Забыли пароль?

У меня нет аккаунта, я хочу Зарегистрироваться

How much to ban the user?
1 hour 1 day 100 years