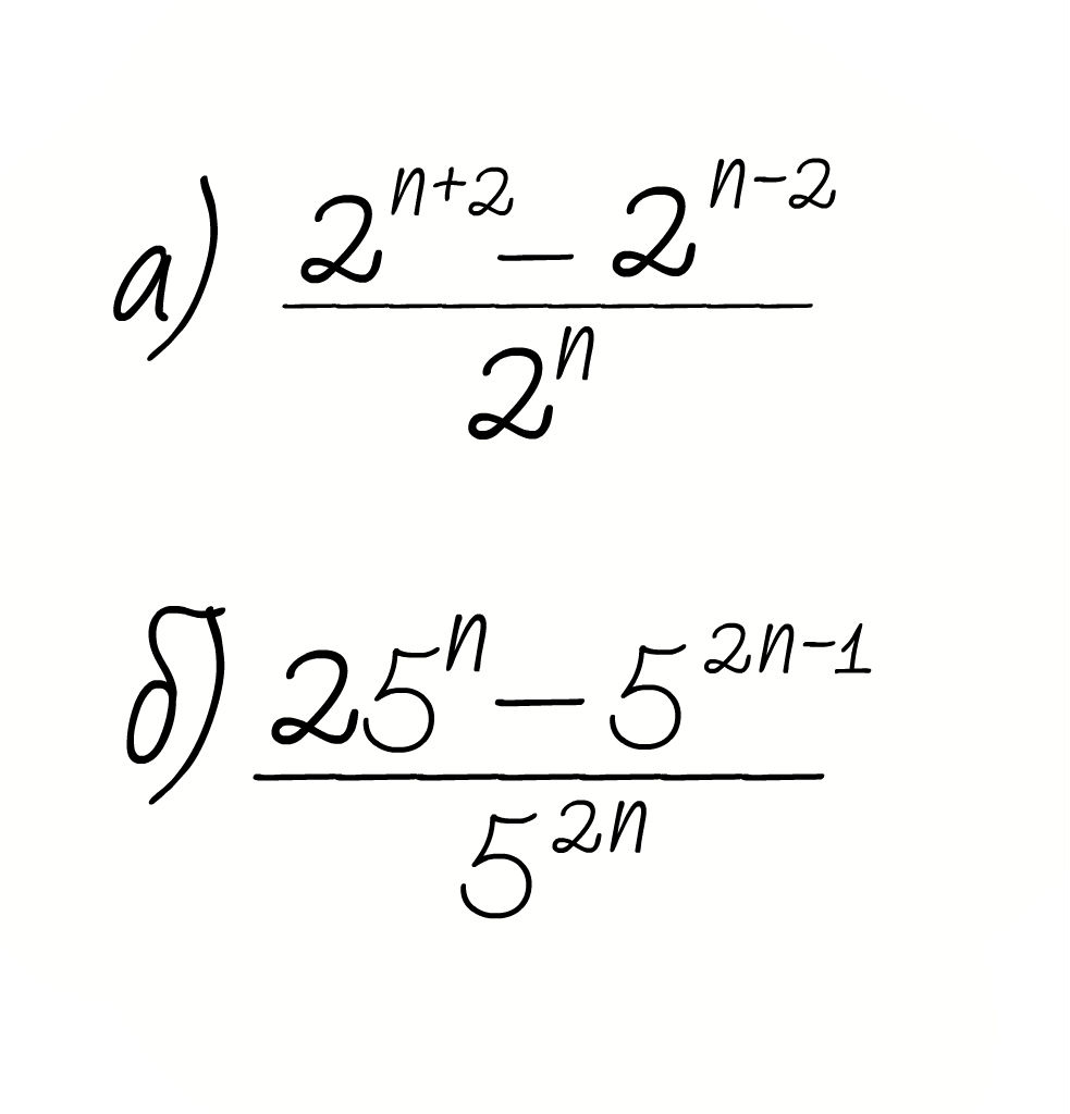
СОКРАТИТЬ ДРОБЬ С "n"степенью, вложение внутри
окончательный ответ под а) 3 целых 3/4
б)4/5
заранее спасибо:)
Предмет:
МатематикаАвтор:
hughkiddАвтор:
seth1wmgДобавить свой ответ
кто в марте 2010 года был выбран композитором для написания гимна Сочи-2014?
а) игорь николаев
б) олег гамзанов
в) игорь крутой
г) валерий меладзе
Предмет:
АлгебраАвтор:
misteronealОтветов:
Смотреть
Высота правильной четырехугольной пирамиды равна 2см. Боковые ребра наклонены к плоскости основания под углом в 45 градусов. Найти объем пирамиды.Помогите пожалуйста срочно надо(
Помидоров собрали на 456кг меньше,чем огурцов.Сколько собрали огурцов, если
их было в 4 раза больше, чем помидоров ?
Предмет:
МатематикаАвтор:
kai773Ответов:
Смотреть