• Помогите упростить выражение под буквой В. Что-то ну никак не получается!

    question img

Ответы 2

  • Большое спасибо! я что-то забыла, что это выражение можно домножить на споряженное! и дальше все уже просто)
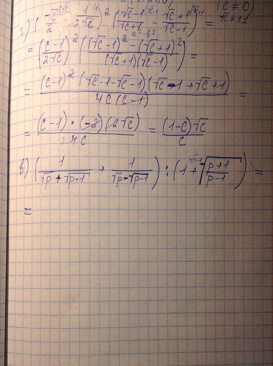
  • ( \frac{1}{ \sqrt{p}+ \sqrt{p+1}}+ \frac{1}{ \sqrt{p}-  \sqrt{p-1} }): (1+  \sqrt{ \frac{p+1}{p-1} })=    рассмотрим первую скобку и избавимся от иррациональности в знаменателе \frac{1}{  \sqrt{p}+ \sqrt{p+1}}=  \frac{ \sqrt{p}- \sqrt{p+1}}{  \sqrt{p}^{2}- \sqrt{p+1}^2}= \frac{ \sqrt{p}- \sqrt{p+1}}{p-p-1}= - ( \sqrt{p}- \sqrt{p+1})     \frac{1}{ \sqrt{p}- \sqrt{p-1}}= \frac{ \sqrt{p}+ \sqrt{p-1}}{ \sqrt{p}^2- \sqrt{p-1}^2} }= \frac{ \sqrt{p}+ \sqrt{p-1}}{p-p+1}=  \sqrt{p}+ \sqrt{p-1}     выполним сложение-( \sqrt{p}- \sqrt{p+1})+( \sqrt{p}+ \sqrt{p-1})= - \sqrt{p}+ \sqrt{p+1}+ \sqrt{p}+ \sqrt{p-1} =

= \sqrt{p+1}+ \sqrt{p-1}  

         выполним сложение во второй скобке:1+ \sqrt{ \frac{p+1}{p-1}}=  \frac{ \sqrt{p-1}+  \sqrt{p+1}}{ \sqrt{p-1}}  и последнее действие \frac{ \sqrt{p+1}+ \sqrt{p-1} }{1}:  \frac{ \sqrt{p-1}+ \sqrt{p+1}}{ \sqrt{p-1}}= \frac{ (\sqrt{p+1}+ \sqrt{p-1})* \sqrt{p-1}}{ \sqrt{p-1}+ \sqrt{p+1}}= \sqrt{p-1}
    • Автор:

      sallyak8g
    • 6 лет назад
    • 0
  • Добавить свой ответ

Войти через Google

или

Забыли пароль?

У меня нет аккаунта, я хочу Зарегистрироваться

How much to ban the user?
1 hour 1 day 100 years