• плиз решите !!!дам 50 балов(ток с действями а не просто ответ)

    question img

Ответы 2

  • в третьем пункте лишний символ не обращай внимание
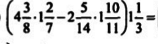
  • 1.   4 \frac{3}{8}*1 \frac{2}{7}= \frac{35}{8}* \frac{9}{7}= \frac{5*9}{8*1}= \frac{45}{8}

    2.   2 \frac{5}{14}*1 \frac{10}{11}= \frac{33}{14}* \frac{21}{11}= \frac{3*3}{2*1}= \frac{9}{2}

    3.   \frac{45}{8}- \frac{9}{2}= \frac{45-36}{8}= \frac{9}{8}

    4.   \frac{9}{8}*1 \frac{1}{3}= \frac{9}{8}* \frac{4}{3}= \frac{3*1}{2*1}= \frac{3}{2}=1 \frac{1}{2}

    • Автор:

      daciano
    • 6 лет назад
    • 0
  • Добавить свой ответ

Еще вопросы

Войти через Google

или

Забыли пароль?

У меня нет аккаунта, я хочу Зарегистрироваться

How much to ban the user?
1 hour 1 day 100 years