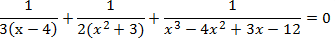
• 1/3(х-4) +1/(2(x^2+3))+1/(x^3-4x^2+3x-12)=0

    Помогите, пожалуйста

    question img

Ответы 2

  • это понятно, я и не могу привести у общему знаменателю
    • Автор:

      vinnytajq
    • 6 лет назад
    • 0
  • К общему знаменателю и должно все получиться
    • Автор:

      belenfvli
    • 6 лет назад
    • 0
  • Добавить свой ответ

Войти через Google

или

Забыли пароль?

У меня нет аккаунта, я хочу Зарегистрироваться

How much to ban the user?
1 hour 1 day 100 years