• 30 баллов! Срочно, пожалуйста с решением:
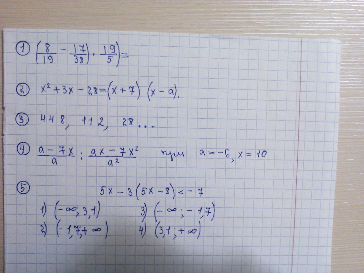
    1) Найти значение выражения.
    2)Квадратный трехчлен разложен на ножители. Найти: а.
    3) Выписаны первые несколько членов геометрической прогрессии: 418, 112, 28... . Найти сумму первых четырех её членов.
    4) Найти значение выражения.
    5) Укажите решение неравенства.( Решение показать)
    6) Решите уравнение (х²-25)² + (х²+ 3х-10)²=0

    question img

Ответы 1

  • 1) (8/19-17/38)*19/5=8/19*19/5-17/38*19/5 сокращаем на 19 =8/5-17/10=-1/10.2)-7 и а - корни левой части. D=3²+112=121? x1=4, х2=7.. а=4.3)448;112;28;7. Числа уменьшаются в 4 раза. Сумма 595.4) ах-7х²=х(а-7х). Теперь делим ((а-7х)*а²)/(а*х*(а-7х)).Сокращаем а и (а-7х) и получаем окончательное выражение а/х. -6/10=-0,6.5)Раскрываем скобки 5х-15х+24<-7-10x<-7-24-10x<-31x>3,1/ Ответ 4.
    • Автор:

      ayanna
    • 6 лет назад
    • 0
  • Добавить свой ответ

Войти через Google

или

Забыли пароль?

У меня нет аккаунта, я хочу Зарегистрироваться

How much to ban the user?
1 hour 1 day 100 years