• СРОЧНО! ПОМОГИТЕ С МАТЕМАТИКОЙ (КОЛЛЕДЖ (10 КЛАСС)) - (фотка)

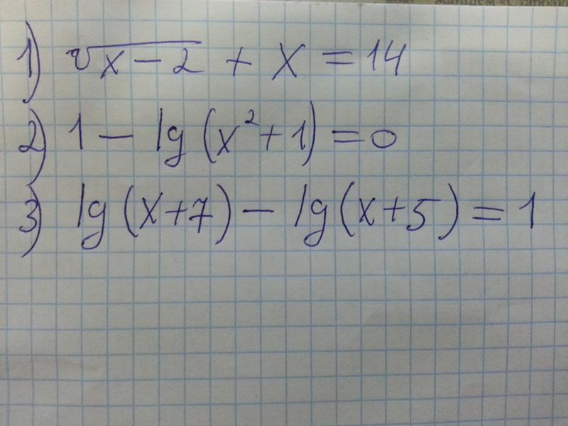
    question img

Ответы 2

  • огромное спасибо! увидел свою ошибку
    • Автор:

      cheyenne
    • 6 лет назад
    • 0
  • Решил первое решаю следующийДобавил второеДобавил третье Торопился так, что если будут ошибки извини :с
    answer img
    • Автор:

      neil14j1
    • 6 лет назад
    • 0
  • Добавить свой ответ

Войти через Google

или

Забыли пароль?

У меня нет аккаунта, я хочу Зарегистрироваться

How much to ban the user?
1 hour 1 day 100 years