• Решите неопределённый интеграл, путём введения новой переменной.

    question img

Ответы 1

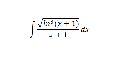
  • t=x+1,dt=dxSln³(x+1)dx/(x+1)=Sln³tdt/tu=lnt.du=dt/tSln³(x+1)dx/(x+1)=Sln³tdt=Su³du=1/4*u^4=1/4*ln^4t=1/4*ln^4(x+1)+C
    • Автор:

      porter96
    • 6 лет назад
    • 0
  • Добавить свой ответ

Еще вопросы

Войти через Google

или

Забыли пароль?

У меня нет аккаунта, я хочу Зарегистрироваться

How much to ban the user?
1 hour 1 day 100 years