• Прошу помощи! первое задание пропускаем.
    Задание на ФОТО

    question img

Ответы 1

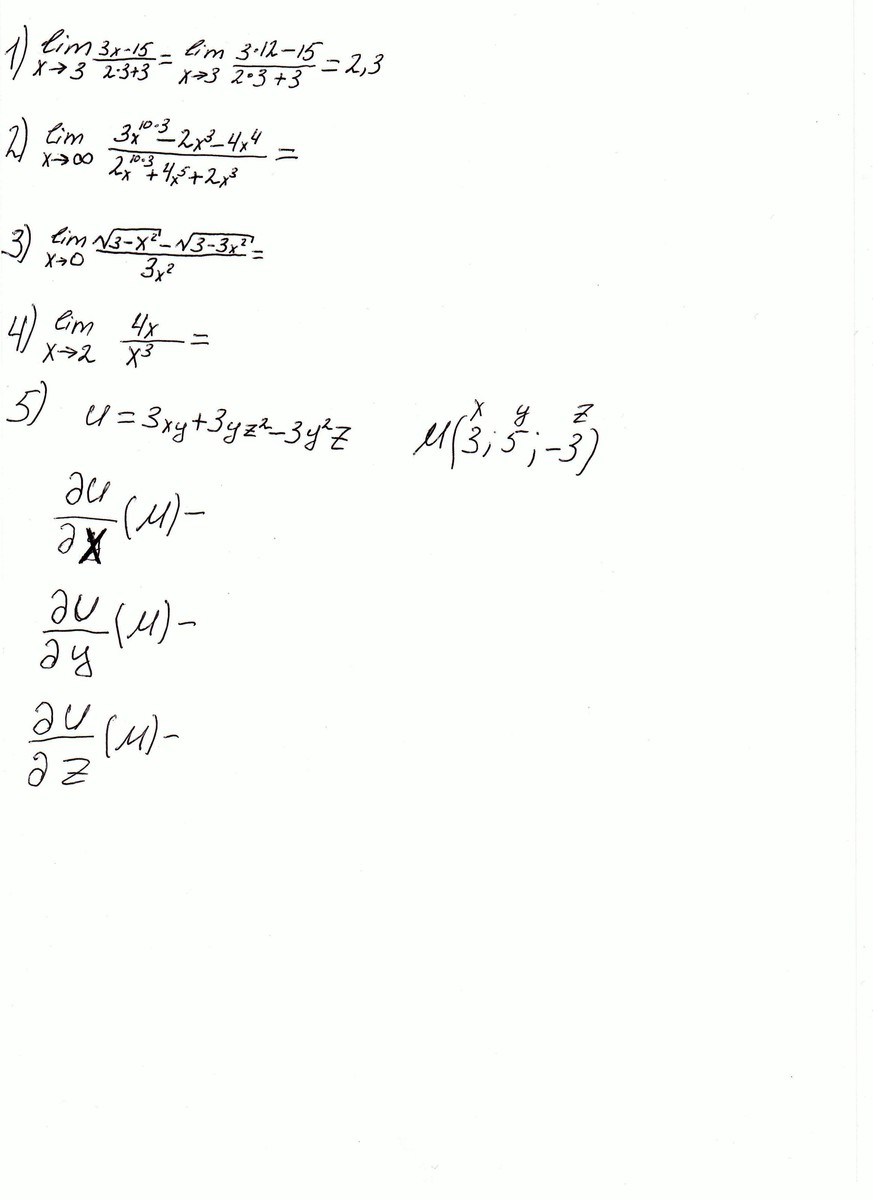
  • в 3-ьем ответ ноль,так как корни в числителе взаимообратныев 4-ом ответ 1
    • Автор:

      kyraarwc
    • 6 лет назад
    • 0
  • Добавить свой ответ

Войти через Google

или

Забыли пароль?

У меня нет аккаунта, я хочу Зарегистрироваться

How much to ban the user?
1 hour 1 day 100 years