Нужно решить формулы сведения \ формули зведення. Задание во вложении(всего одно задание.) Помогите, пожалуйста!)
Предмет:
МатематикаАвтор:
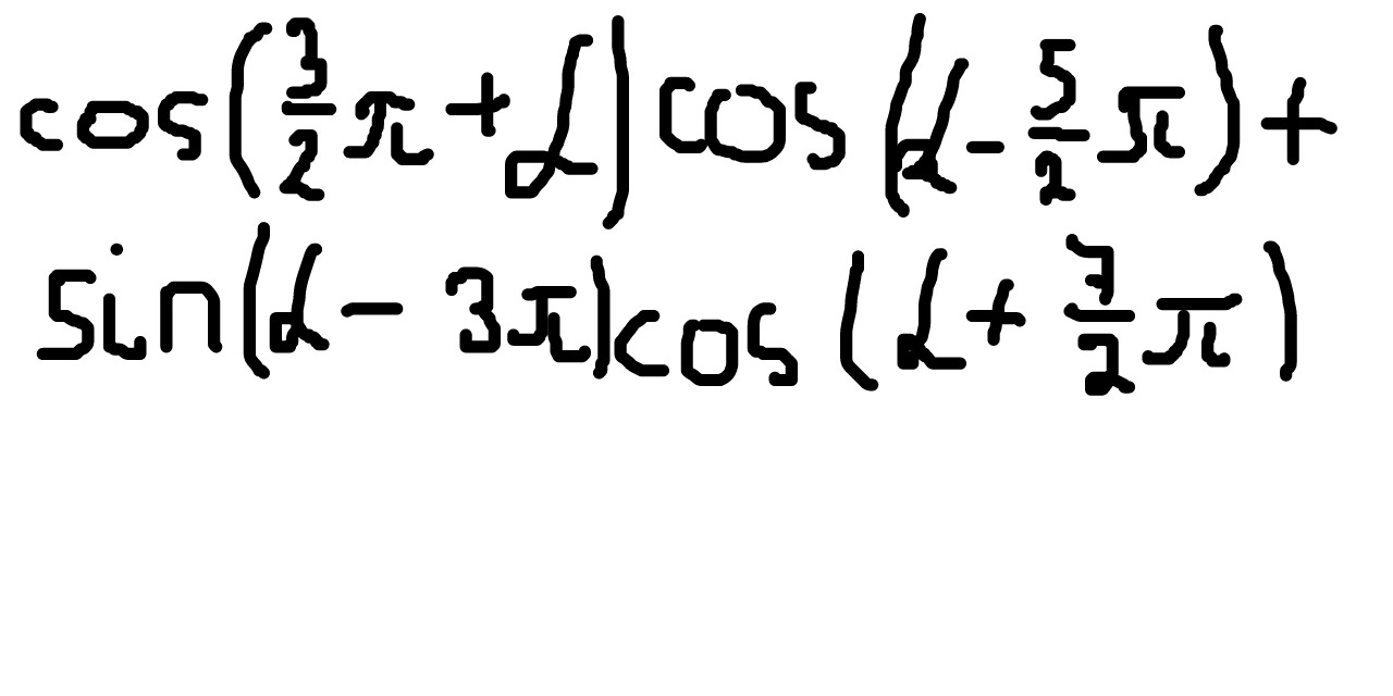
hooperПервый косинус превращается в +синус
второй - тоже
Синус превращается в минус синус
третий косинус также в +синус
Итого имеем равенство синус квадрат минус синус квадрат = 0
Автор:
elisaocorя напишу сразу преобразованные
(-sin a)*(-sin a)+(-sin a)(sin a)=six^2 a - sin^2 a=0
Автор:
bugsyДобавить свой ответ
ребят , готовлюсь к гиа,не понимаю как решить((помогите,пожалуйста На книжной полке выставлена художественная литература: 3 тома произведений А.С Пушкина, 5 томов А.П Чехова и 7 книг по современой поэзии. Какова вероятность того, что наугад взятая книга будет томом А.С Пушкина?
Через скільки хвилин після того , як годинник показував 9 годин , хвилинна стрілка наздожене годинну?
Предмет:
МатематикаАвтор:
platoОтветов:
Смотреть
Сочинение-рассказ о случае из жизни с элементами описания местности
Предмет:
Русский языкАвтор:
brodiew3ncОтветов:
Смотреть
твір роздум чому треба поважати старших
Предмет:
Українська моваАвтор:
foxsuwsОтветов:
Смотреть