Ответы 9

  • но не уверен
    • Автор:

      justine
    • 6 лет назад
    • 0
  • А почему 6*7?
  • Всё правильно!
  • всё умнажаем на 2
    • Автор:

      jagger4
    • 6 лет назад
    • 0
  • не равно 5
  • почему
    • Автор:

      aaronf5op
    • 6 лет назад
    • 0
  • 45:9=5
  • таблица умножения
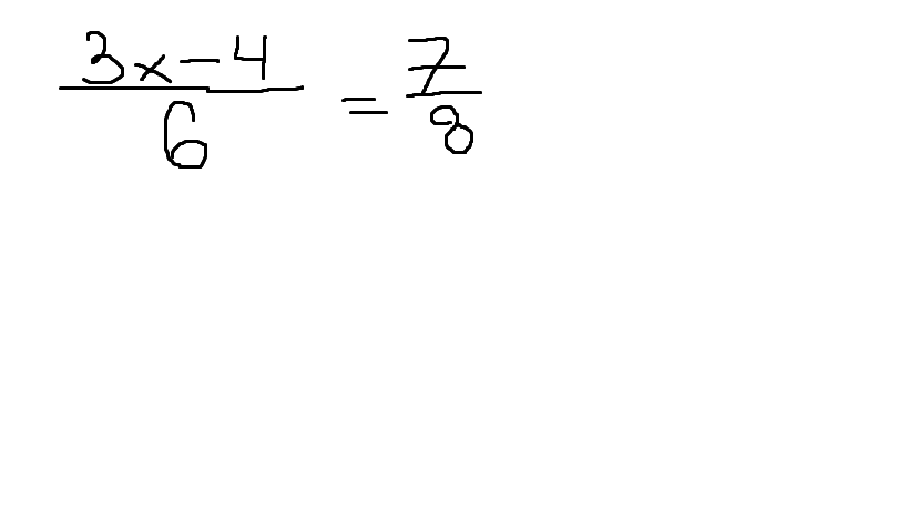
  • 8 (3х-4) = 6*724х - 32 = 4224х = 74х = 74\24 = 3 целых 1\12
    • Автор:

      brandon
    • 6 лет назад
    • 0
  • Добавить свой ответ

Войти через Google

или

Забыли пароль?

У меня нет аккаунта, я хочу Зарегистрироваться

How much to ban the user?
1 hour 1 day 100 years