• Найти производные y' пользуясь формулами и правилами дифференцирования

    question img
    question img

Ответы 7

  • Nafanya, Вы же видите кто оставил комментарий. это автор задания. расписала все подробно, оказывается "они" не довольны.
    • Автор:

      sarahi
    • 6 лет назад
    • 0
  • Не обижайтесь. Это еще в сложном вопросе недовольство. А когда в элементарной задаче - не могут понять и недовольны. Пытаемся, воспитываем. Не всегда получается.
    • Автор:

      mikokhan
    • 6 лет назад
    • 0
  • Хм, вы не правильно поняли. Хотел сказать, что у меня получалась ересь, вот и все
    • Автор:

      alex84
    • 6 лет назад
    • 0
  • Вы можете заблокировать в ЛС, там в верхнем углу есть значок "заблокировать пользователя" и к Вам больше не придут сообщения с просьбами и некрасивыми комментами
    • Автор:

      carlawbuj
    • 6 лет назад
    • 0
  • это я неправильно прочитала комментарий. зрение "подкачало". приношу извинения автору задания.
  • решение во вложении--------------------------------
    answer img
    • Автор:

      inés
    • 6 лет назад
    • 0
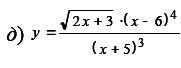
  • в)Применим свойства логарифма:y=ln \sqrt[8]{ \frac{x^4-3}{x^4+3} } \\  \\  y=ln ({ \frac{x^4-3}{x^4+3})^{ \frac{1}{8} }   y= \frac{1}{8} ln { \frac{x^4-3}{x^4+3} y`= \frac{1}{8}(ln { \frac{x^4-3}{x^4+3})`y`= \frac{1}{8} \cdot \frac{1}{ \frac{x^4-3}{x^4+3}}\cdot (\frac{x^4-3}{x^4+3})`= \frac{1}{8} \cdot \frac{1}{ \frac{x^4-3}{x^4+3}}\cdot \frac{(x^4-3)`(x^4+3)-(x^4+3)`(x^4-3)}{(x^4+3)^2}= \\  \\ = \frac{1}{8} \cdot \frac{1}{ x^4-3}\cdot \frac{4x^3\cdot (x^4+3)-(4x^3)\cdot(x^4-3)}{(x^4+3)}= \frac{1}{8} \cdot \frac{1}{ x^4-3}\cdot \frac{4x^3\cdot 6}{(x^4+3)}==\frac{3x^3}{(x^4-3)\cdot (x^4+3)}д)Прологарифмируем выражениеlny=ln \frac{ \sqrt{2x+3}\cdot(x-6)^4 }{(x+5)^3}  \\  \\ lny=\frac{1}{2}ln(2x+3)+4ln(x-6)-3ln(x+5)  Находим производную и левой части и правой части(lny)`=(\frac{1}{2}ln(2x+3)+4ln(x-6)-3ln(x+5))` \\  \\  \frac{y`}{y}=\frac{1}{2}\cdot  \frac{(2x+3)`}{2x+3}   +4\cdot  \frac{(x-6)`}{x-6}-3\cdot  \frac{(x+5)`}{x+5}   y`=y\cdot (\frac{1}{2}\cdot  \frac{2}{2x+3}   +4\cdot  \frac{1}{x-6}-3\cdot  \frac{1}{x+5} ) \\  \\ 
 y`= \frac{ \sqrt{2x+3}\cdot(x-6)^4 }{(x+5)^3} \cdot (  \frac{1}{2x+3}   + \frac{4}{x-6}-\frac{3}{x+5} ) \\  \\ 
  y`= \frac{ \sqrt{2x+3}\cdot(x-6)^4 }{(x+5)^3} \cdot (  \frac{(x-6)(x+5)+4(2x+3)(x+5)-3(2x+3)(x-6)}{(2x+3)(x-6)(x+5)} )  \\  \\  y`=3\cdot \frac{ (x-6)^3\cdot (x^2+26x+28) }{ \sqrt{2x+3}\cdot  (x+5)^4}
    answer img
    • Автор:

      dorito
    • 6 лет назад
    • 0
  • Добавить свой ответ

Войти через Google

или

Забыли пароль?

У меня нет аккаунта, я хочу Зарегистрироваться

How much to ban the user?
1 hour 1 day 100 years