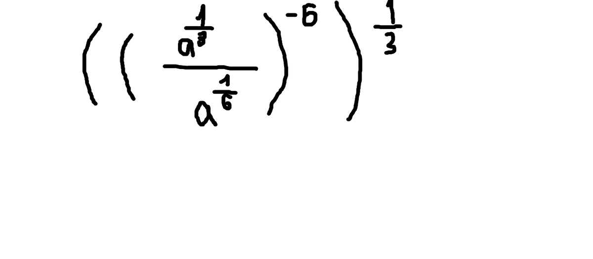
• представить выражение(то,что на рисунке) в виде степени числа "а",указать используемые формулы

    question img

Ответы 5

  • там не 1/8,а 1/6 у меня
    • Автор:

      luckyjrh7
    • 6 лет назад
    • 0
  • 1/6 в числителе?
  • да. "а" в степени 1/3
  • Вы имеете ввиду, 1/3 в числителе дроби?
  • Ответ исправила,. Спасибо, что указали на ошибку.
    • Автор:

      van2
    • 6 лет назад
    • 0
  • Добавить свой ответ

Войти через Google

или

Забыли пароль?

У меня нет аккаунта, я хочу Зарегистрироваться

How much to ban the user?
1 hour 1 day 100 years