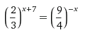
• Напишите пожалуйста подробное решение для этого уравнения.

    question img

Ответы 2

  • ( \frac{2}{3})^{x+7}=( \frac{9}{4})^{-x}  ( \frac{2}{3})^{x+7}=( \frac{4}{9})^{x}  ( \frac{2}{3})^{x+7}=( \frac{2^{2}}{3^{2}})^{x}( \frac{2}{3})^{x+7}=( \frac{2}{3})^{2x}x+7=2xx=7 
  • (2/3)^(x+7)=((3/2)^2)^(-x)(2/3)^(x+7)=(3/2)^(-2*x) (2/3)^(x+7)=(2/3)^(-1)^(-2*x)(2/3)^(x+7)=(2/3)^(2*x)  отбрасываем основания степени приравниваем показатели х+7=2*х                     2*х-х=7                       х=7
    • Автор:

      peanut33
    • 6 лет назад
    • 0
  • Добавить свой ответ

Войти через Google

или

Забыли пароль?

У меня нет аккаунта, я хочу Зарегистрироваться

How much to ban the user?
1 hour 1 day 100 years