Замените звездочки цифрами:
Во вложениях!
Предмет:
МатематикаАвтор:
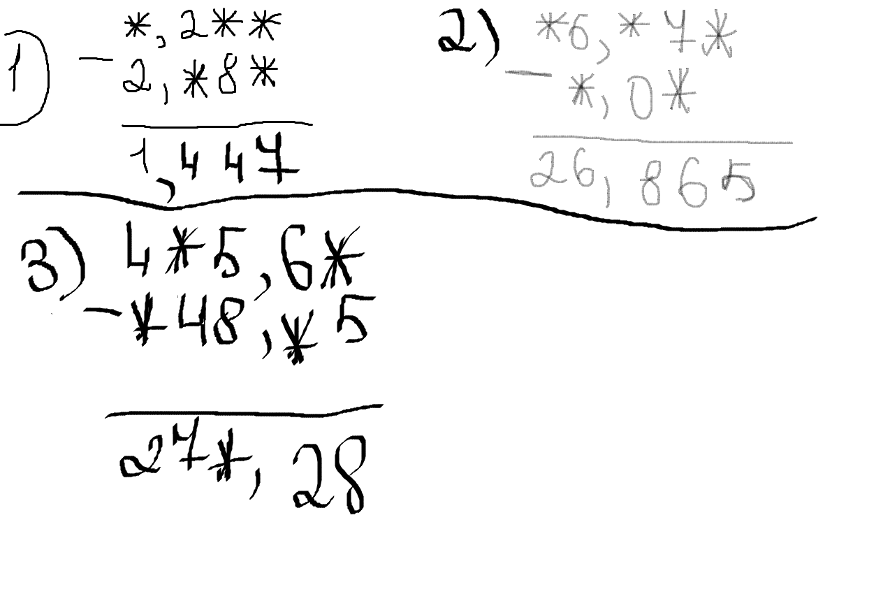
hughnqh91) 4.259-2.782
2)26.875-0.01
3)425.63-148.35
Автор:
nortonsloan1) 4,228-2,781=1,447
2) 26,875-,01=26,865
3) 425,63-148,35=277,28
Автор:
gingersnapДобавить свой ответ
Предмет:
Русский языкАвтор:
abraham785Ответов:
Смотреть
Реши уравнения используя свойство равенств.5x-279=3116 496a-597=48507 89a-3987=37220
Предмет:
МатематикаАвтор:
pamelawilkersonОтветов:
Смотреть
Задача Средняя скорость самолёта 500км/ч,поезда - в 10 раз меньше,а велосипедиста - на 35 км/ч меньше,чем скорость поезда.Какова средняя скорость велосипедиста? Решите пожалуйста заранее спасибо)
Предмет:
МатематикаАвтор:
nicolás26Ответов:
Смотреть
Борис Житков "Николай Исаич Пушкин"
Как бы звали в порту капитана, если для пассажиров он - Пётр Михайлович Кузьмин, плавающий на ледоколе "Румянцев"?
ПОЖАЛУЙСТА, ОЧЕНЬ НАДО, СРОЧНО!!!!!
Предмет:
ЛитератураАвтор:
cash86Ответов:
Смотреть