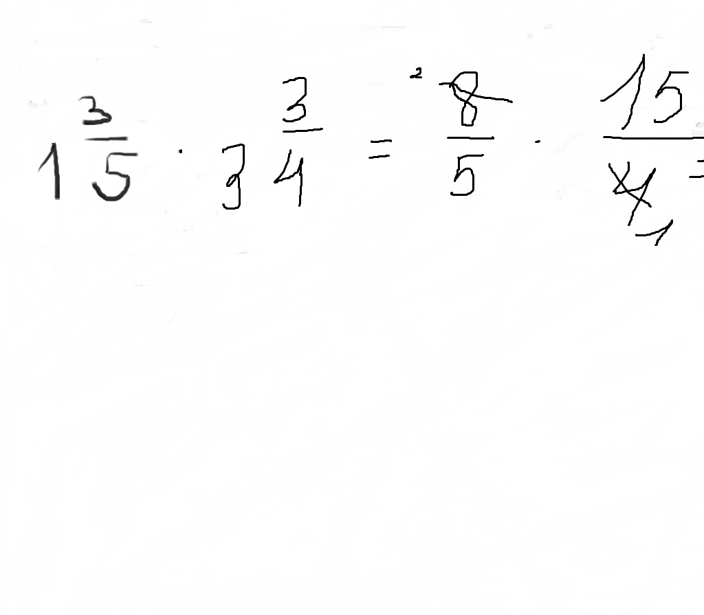
• Здравствуйте, проверьте меня , и помогите сокращать ли 15 и 5 , а если да то на сколько на 5? это что ли получится двадцать четыре четвертых?

    question img

Ответы 6

  • И получится = 24/4=6?
    • Автор:

      oscar834
    • 6 лет назад
    • 0
  • Правильно?
  • 6/1=6
  • Вот спасибо)
  • А ты напиши дробь!
    • Автор:

      aurelio
    • 6 лет назад
    • 0
  • Все правильно, только надо еще сократить 5 и 15 на 5.
    • Автор:

      pongo30oq
    • 6 лет назад
    • 0
  • Добавить свой ответ

Войти через Google

или

Забыли пароль?

У меня нет аккаунта, я хочу Зарегистрироваться

How much to ban the user?
1 hour 1 day 100 years