Ответы 2

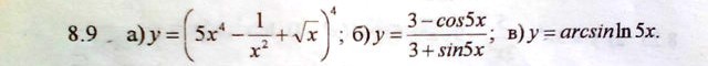
  • 4(5x^{4} - \frac{1}{x^2} + \sqrt{x} )^3*20x^3* \frac{1}{2}* \frac{1}{x^3}* \frac{1}{2}* \frac{1}{ \sqrt{x} } = (5x^{4} - \frac{1}{x^2} + \sqrt{x} ) * 20 * \frac{1}{ \sqrt{x} }
    • Автор:

      junior43
    • 6 лет назад
    • 0
  • 4(5x^{4} - \frac{1}{x^2} + \sqrt{x} )^3*20x^3* \frac{1}{2}* \frac{1}{x^3}* \frac{1}{2}* \frac{1}{ \sqrt{x} } = (5x^{4} - \frac{1}{x^2} + \sqrt{x} ) * 20 * \frac{1}{ \sqrt{x} }
    • Автор:

      tiger52
    • 6 лет назад
    • 0
  • Добавить свой ответ

Войти через Google

или

Забыли пароль?

У меня нет аккаунта, я хочу Зарегистрироваться

How much to ban the user?
1 hour 1 day 100 years