• Помогите решить. Тема: Производная/ Диферанцирование . Можите написать решение и какую формулу использовали.

    Ответ должен получиться такой:
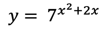
    y' = 2(x + 1) * 7*x*2+2 x* ln7

    question img

Ответы 2

  • Спасибо большое!
  • Формула общая написана сверху, но у нас функция в степени сложная, поэтому результат домножаем на производную от (x^2 + 2x), то есть на (2х + 2).
    answer img
    • Автор:

      brutus34
    • 6 лет назад
    • 0
  • Добавить свой ответ

Войти через Google

или

Забыли пароль?

У меня нет аккаунта, я хочу Зарегистрироваться

How much to ban the user?
1 hour 1 day 100 years