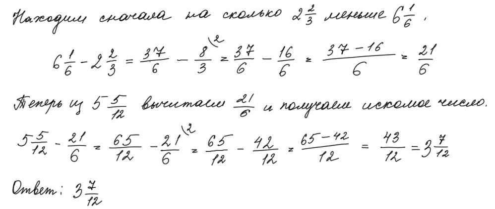
• Найдите число, которое на столько же меньше "5 5/12", на сколько "2 2/3" меньше "6 1/6" это дроби пожалуйста с пояснениями

Ответы 1

  • Решение в прикрепленном файле.
    answer img
  • Добавить свой ответ

Войти через Google

или

Забыли пароль?

У меня нет аккаунта, я хочу Зарегистрироваться

How much to ban the user?
1 hour 1 day 100 years