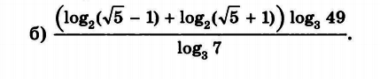
• Пожалуйста помогите!!! срочнооо алгебра 10 класс, в первом ответ должен получиться 4.

    question img
    question img

Ответы 3

  • Спасибо, хорошо)))
  • Не за что))
  • Спрашивай, если что :)
    answer img
    • Автор:

      jackson
    • 6 лет назад
    • 0
  • Добавить свой ответ

Войти через Google

или

Забыли пароль?

У меня нет аккаунта, я хочу Зарегистрироваться

How much to ban the user?
1 hour 1 day 100 years