• Даю 50 баллов! Помогите пж.
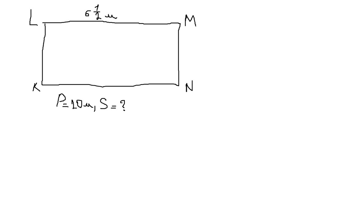
    каждый из рисунков задаёт некоторую задачу выясните что известно и найдите неизвестные величины(Смотрите вложение)

    question img

Ответы 3

  • точно?
  • теперь точно
    • Автор:

      yoder
    • 6 лет назад
    • 0
  • У меня да
    • Автор:

      warren71
    • 6 лет назад
    • 0
  • Добавить свой ответ

Войти через Google

или

Забыли пароль?

У меня нет аккаунта, я хочу Зарегистрироваться

How much to ban the user?
1 hour 1 day 100 years