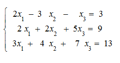
• Решить систему по формулам Крамера ( с проверкой)

    question img

Ответы 1

  • Основная матрица А:2   -3    -12    2     53    4     7|A|=28-8-45+6+42-40=-17матрица Х1:3    -3   -19     2    513    4   7|X1|=42-36-195+26+189-60=-34матрица Х2:2    3   -12    9    53  13   7|X2|=126-26+45+27-42-130=0матрица Х3:2    -3   32     2    93    4   13|X3|=52+24-81-18-72+78=-17x1=-34/(-17)=2х2=0х3=1Проверка:4-1=34+5=96+7=13верно
    • Автор:

      aidan
    • 6 лет назад
    • 0
  • Добавить свой ответ

Войти через Google

или

Забыли пароль?

У меня нет аккаунта, я хочу Зарегистрироваться

How much to ban the user?
1 hour 1 day 100 years