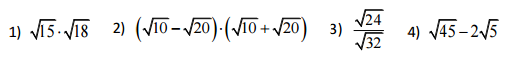
• Значение какого из выражений является числом рациональным?

    question img

Ответы 2

  • Спасибо, но тут же получается, что равно не просто -10, а - корню из 10?
    • Автор:

      nataly
    • 6 лет назад
    • 0
  • РЕШЕНИЕФормула разности квадратовРациональным будет - 2  (√10 - √20)(√10+√20) = 10 -20 = -10  
    • Автор:

      juliet78
    • 6 лет назад
    • 0
  • Добавить свой ответ

Войти через Google

или

Забыли пароль?

У меня нет аккаунта, я хочу Зарегистрироваться

How much to ban the user?
1 hour 1 day 100 years