• Найдите значение выражения √х+7 + √х, если √х+7 - √х=5

    Корень заканчивается после 7.(см.рис)

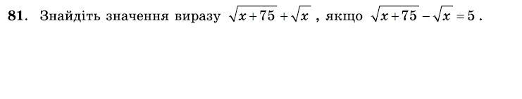
    question img

Ответы 1

  • √х+7 + √х)*(√х+7 - √х)=x+7-x=7, тогда можем найти √х+7 + √х=7/(√х+7 - √х)=7/5=1 4. Ответ: 1,4.
  • Добавить свой ответ

Еще вопросы

Войти через Google

или

Забыли пароль?

У меня нет аккаунта, я хочу Зарегистрироваться

How much to ban the user?
1 hour 1 day 100 years