• Помогите, пожалуйста, нужно найти уравнение касательной к графику и с подробным решением, если можно

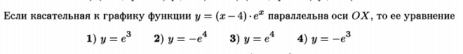
    question img

Ответы 1

  • касательная к графику функции параллельна оси Ох⇒ у'=0y'= e^{x} *(x-4)'+( e^{x} )'*(x-4) e^{x} *(x-3)=0x=3уравнение касательной: y=f(x0)+F'(x0)*(x-x0)F(x0)=-e³f'(x0)=0y=-e³ответ:4
    • Автор:

      watts
    • 6 лет назад
    • 0
  • Добавить свой ответ

Еще вопросы

Войти через Google

или

Забыли пароль?

У меня нет аккаунта, я хочу Зарегистрироваться

How much to ban the user?
1 hour 1 day 100 years