• Помогите решить рациональное уравнение подробно 8 класс

    question img

Ответы 2

  • спасибо большое
    • Автор:

      demarcus
    • 6 лет назад
    • 0
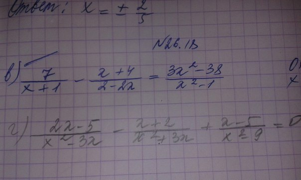
  • 17/(x+1)+(x+4)/2(x-1)=(3x²-38)/(x-1)(x+1)x≠-1 U x≠114*(x-1)+(x+4)(x+1)=2(3x²-38)6x²-76-14x+14-x²-x-4x-x-4=05x²-19x-66=0D=361+1320=1681x1=(19-41)/10=-2,2x2=(19+41)/10=62(2x-5)/x(x-3)+(x+2)/x(x+3)+(x-5)/(x-3)(x+3)=0x≠3  x≠-3(x+3)(2x-5)+(x+2)(x-3)+x(x-5)=02x²-5x+6x-15+x²-3x+2x-6+x²-5x=04x²-5x-21=0D=25+336=361x1=(5-19)/8=-7/4x2=(5+19)/8=3 не удов усл
  • Добавить свой ответ

Войти через Google

или

Забыли пароль?

У меня нет аккаунта, я хочу Зарегистрироваться

How much to ban the user?
1 hour 1 day 100 years