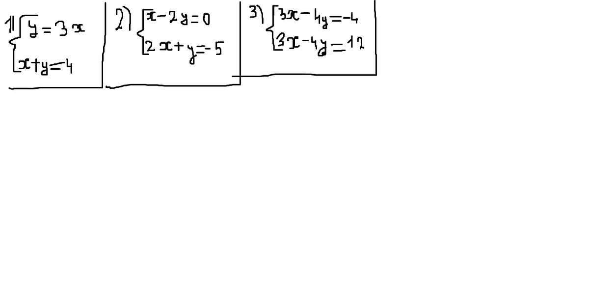
• сколько решений имеет система , за решение 73 балла , зорание спасибо

    question img

Ответы 1

  • 1. х+3х=44х=4х=1у=3единственное решение2. х=2у2*2у+у=-55у=-5у=-1х=-2единственное решение3. решений нет
  • Добавить свой ответ

Войти через Google

или

Забыли пароль?

У меня нет аккаунта, я хочу Зарегистрироваться

How much to ban the user?
1 hour 1 day 100 years