• реши уравнения вставь в окошки буквы диаграммы, соответствующиекорням уравнения. Чье это имя?

    question img

Ответы 1

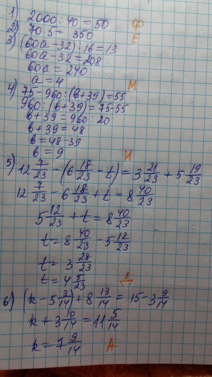
  • ответ: ФЕМИДАрешение на фото
    answer img
  • Добавить свой ответ

Еще вопросы

Войти через Google

или

Забыли пароль?

У меня нет аккаунта, я хочу Зарегистрироваться

How much to ban the user?
1 hour 1 day 100 years