• подскажите мне пожалуйста ответы в этих примерах. это тема подобные слагаемые 6 класс

    question img

Ответы 2

  • спасибо
    • Автор:

      foxy100
    • 6 лет назад
    • 0
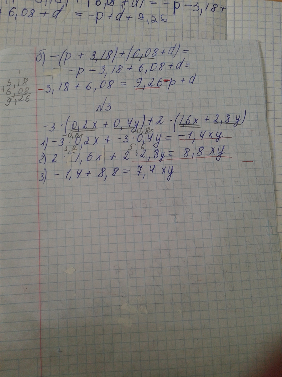
  • 1) 0,2х+0,4у=0,6ху2) 1,6х+2,8у=4,4ху3) -3×0,6ху=-1,8ху4) 2×4,4ху=8,8ху5) -1,8ху+8,8ху=7ху
    • Автор:

      oseasmann
    • 6 лет назад
    • 0
  • Добавить свой ответ

Войти через Google

или

Забыли пароль?

У меня нет аккаунта, я хочу Зарегистрироваться

How much to ban the user?
1 hour 1 day 100 years