• Решите систему уравнений пожалуйста,заранее спасибо.(лучше отправить решение на фотографии.)

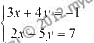
    question img

Ответы 2

  • ║ - это вместо скобочки
  • ║ 3х + 4у = -1,║ 2х - 5у = 7,из 1 ур-ия:х = (-1-4у) : 3,подставим во 2 ур-ие:2 * (-1-4у) : 3 - 5у = 7,-2/3 - 8/3у - 5у = 7,-8/3у - 5у = 7 + 2/3,-8/3у - 15/3у = 21/3 + 2/3,-23/3у = 23/3,у = -1,х = (-1-4у) : 3 = (-1-4*(-1):3 = (-1+4):3 = 3 : 3 = 1.ответ:  (1; -1)
  • Добавить свой ответ

Еще вопросы

Войти через Google

или

Забыли пароль?

У меня нет аккаунта, я хочу Зарегистрироваться

How much to ban the user?
1 hour 1 day 100 years