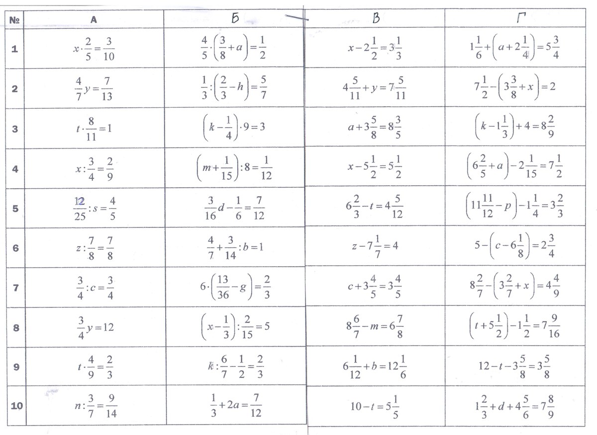
• решите уравнения пожалуйста, шестая строчка под буквой б,г. восьмая строчка под буквой г. десятая строчка под буквой г
    помогите пожалуйста очень надо

    question img

Ответы 1

  • ..............................
    answer img
  • Добавить свой ответ

Еще вопросы

Войти через Google

или

Забыли пароль?

У меня нет аккаунта, я хочу Зарегистрироваться

How much to ban the user?
1 hour 1 day 100 years