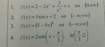
• Найдите все первообразные F(x) для функции 1-3.В четвертом задании найдите для заданной функции f(x) ту первообразную ,график которой проходит через точку М.

    question img

Ответы 1

  • 1. f(x)=2-2x^3+\frac{3}{x^4}+x=2-2x^3+3x^{-4}+x\\
F(x)=2x-2\frac{x^4}{4}+3\frac{x^{-3}}{-3}-\frac{x^2}{2}+C=2x-0.5x^4-\frac{1}{x^3}-0.5x^2+C2. f(x)=5sin x+2\\
F(x)=-5cosx+2x+C3. f(x)=(5-9x)^8\\
F(x)=\frac{(5-9x)^9}{9}*(-\frac{1}{9})+C=-\frac{1}{81}(5-9x)^9+C4. f(x)=2cos(x-\frac{\pi}{3})\\
F(x)=2sin(x-\frac{\pi}{3})+C\\
M(\frac{\pi}{3},2)=\ \textgreater \  2=2sin(\pi/3-\pi/3)+C\\
2=2sin0+C\\
C=2\\
F(x)=2sin(x-\pi/3)+2
    • Автор:

      colin
    • 6 лет назад
    • 0
  • Добавить свой ответ

Войти через Google

или

Забыли пароль?

У меня нет аккаунта, я хочу Зарегистрироваться

How much to ban the user?
1 hour 1 day 100 years