• Решить систему уравнений. Уравнение в прикреплении. Заранее огромное спасибо. С полным решением.

    question img

Ответы 1

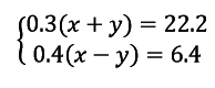
  • х+у=22,2:0,3х-у=6,4:0,4х+у=74х-у=16сложим уравнения и заменим второе уравнение на результат сложениях+у=742х=90х=90:45у=74-хх=45у=74-45х=45у=29
  • Добавить свой ответ

Войти через Google

или

Забыли пароль?

У меня нет аккаунта, я хочу Зарегистрироваться

How much to ban the user?
1 hour 1 day 100 years