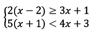
• Решить систему неравенств. Заранее огромное спасибо. С полным решением.

    question img

Ответы 6

  • и проверь
  • Можешь еще чертеж отправить пож-та
  • сори да у тя правильно я просто запутался
  • я бы мог но как
    • Автор:

      fionaufh8
    • 6 лет назад
    • 0
  • в сообщение нельзя?
  • 2x-4 >= 3x+15x+5<4x+3-x>=5x<-2x<= -5x<-2Ответ: (-2 ; +бесконечность)
    • Автор:

      fluffy16
    • 6 лет назад
    • 0
  • Добавить свой ответ

Войти через Google

или

Забыли пароль?

У меня нет аккаунта, я хочу Зарегистрироваться

How much to ban the user?
1 hour 1 day 100 years