*Не думаю что это решение лучшее, но другого я просто не увидел.Найдем ОДЗ:


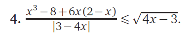
Исходя из данных ограничений, можно открыть модуль и переписать неравенство в другом виде:
} }{4x-3} \leq (4x-3)^{1/2})
Числитель дроби можно преобразовать:
=(x-2)(x^2+2x+4-6x)=(x-2)^3)
Таким образом мы пришли к этому:
^3}{4x-3} \leq (4x-3)^{1/2})
Перенесем все в одну часть, внесем под один знаменатель:
^3-((4x-3)^{1/2})^3}{4x-3} \leq 0)
Раскроем числитель как разность кубов:
- \sqrt{4x-3})((x-2)^2-(x-2)\sqrt{4x-3}+4x-3)}{4x-3} \leq 0)
Попробуем решить это неравенство методом интервалов, т.е. для начала найдем нули функции:1)
- \sqrt{4x-3}=0)
=(x-2)^2} \atop {x \geq 2}} ight. )
Единственное решение

(и второе решение не влияет на знак неравенства, положительно)2)
^2-(x-2)\sqrt{4x-3}+4x-3=0)
^2+2(x-2) \frac{4x-3}{x-2} +(\frac{4x-3}{x-2})^2} \atop {(x-2)+\frac{4x-3}{x-2} \geq 0}} ight. )
После частичного упрощения верхнего уравнения системы получим:
^2} \atop {x\geq 2}} ight. )
Дальше решать смысла нет, т.к. верхнее уравнение не будет иметь решений (левая часть равенства всегда отрицательна, правая - положительна)Одновременно с этим знак выражения
^2-(x-2)\sqrt{4x-3}+4x-3)
на допустимом (ОДЗ) интервале всегда положителен, поэтому оно никак не влияет на знак неравенства.*Тогда все наше первоначальное неравенство эквивалентно данному:

Его решением и будет являться (с учетом ОДЗ)

* Можно обосновать так:
^2-(\frac{a}{b})+1)
(в нашем случае уместно)

, коэффициент при числе в квадрате положителен, значит и все значения функции на интервале ОДЗ положительны.