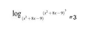
• Помогите понять, верно ли это логарифмическое уравнение? 

    question img

Ответы 3

  • Но если число подставить и решить то верно же вроде будет? В чем заковырка не могу понять
  • если число поставить то да верно будет
  • Не равняется трем .......
    • Автор:

      grant33
    • 6 лет назад
    • 0
  • Добавить свой ответ

Войти через Google

или

Забыли пароль?

У меня нет аккаунта, я хочу Зарегистрироваться

How much to ban the user?
1 hour 1 day 100 years