• ПОМОГИТЕ ПЛИЗ!!!!!!!!!!!!!!!!!!!!!!!!!!!!!!!!!!!!!!!!!!!!!!!!!!!!111
    пожалуйста

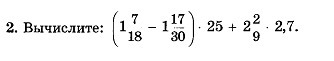
    question img

Ответы 1

  • 3 1/3 это 3 целых 1 третия. На всякий случай.2/15 умножить 25 +2 2/9 умножить 2,7 = 3 1/3 + 6 3/10 = 3 10/30 + 6 9/10 = 9 19/30
  • Добавить свой ответ

Войти через Google

или

Забыли пароль?

У меня нет аккаунта, я хочу Зарегистрироваться

How much to ban the user?
1 hour 1 day 100 years