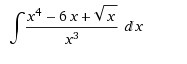
• помогите решить неопределенный нтеграл используя свойства интеграла и таблицу

    question img

Ответы 1

  • здесь должно быть не менее 20 символов
    answer img
    • Автор:

      kaila
    • 6 лет назад
    • 0
  • Добавить свой ответ

Войти через Google

или

Забыли пароль?

У меня нет аккаунта, я хочу Зарегистрироваться

How much to ban the user?
1 hour 1 day 100 years