• Помогите пожалуйста!!!!!!!!!! х и числа над тройкой это степени

    question img

Ответы 2

  • спасибо!
    • Автор:

      skye
    • 6 лет назад
    • 0
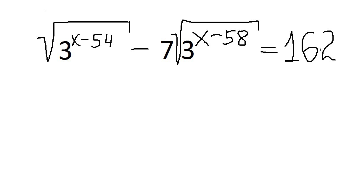
  • 3^(0,5x-27)-7*3^(0,5x-29)=1623^(0,5x-29)*(9-7)=1623^(0,5x-29)=810,5x-29=40,5x=33x=66
    • Автор:

      jayce
    • 6 лет назад
    • 0
  • Добавить свой ответ

Войти через Google

или

Забыли пароль?

У меня нет аккаунта, я хочу Зарегистрироваться

How much to ban the user?
1 hour 1 day 100 years