• Помогите пожалуйста решить,желательно подробное решение)))

    question img

Ответы 1

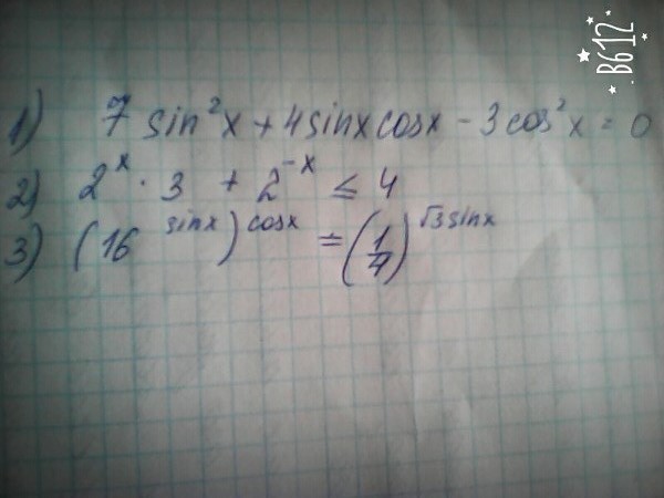
  • 1) 7sin²x+4sinx·cosx-3cos²x=0  делим   на  cos²x  ⇒     7tg²x + 4tgx - 3 =0      tgx= [ -4 +/-√(16+4·7·3)]/(2·7) = [-4+/-10]/14     a)  tgx= -1    ⇒  x=  3π/4 + πk ;  k∈Z     b)   tgx= 3/7  ⇒  x =arctg(3/7) +πn ;  n∈Z 2)  2^x ·3 +2^(-x) ≤4    умножим  на  2^x  и т.к.  2^x>0    ⇒      3· 2^(2x) +1 ≤4·2^x                                                3·2^(2x) - 4·2^x +1 =0                                                 2^x = [2+/-√(4-3)]/3 = (2+/-1)/3 ⇒    (2^x -1/3)(2^x -1) ≤0 ⇒ a)    2^x≥1/3 ; 2^x≤1       ⇒   lg'2 (1/3) ≤ x ≤ 0 b)    2^x≤1/3 ;  2^x ≥1      не  уд.Ответ :    x∈[ lg'2 (1/3) ; 0 ]3)  (16^sinx)^cosx = (1/4)^(√3·sinx)       16^(sinx·cosx) = 4^(-√3 ·sinx)        4^(2sinx·cosx)  = 4^(-√3·sinx)      ⇒  2sinx·cosx = -√3·sinx           sinx·(2cosx+√3) = 0       a)   sinx=0     ⇒   x= πk  ;  k∈Z       b)   cosx= -√3/2  ⇒    x = +/-2π/3 +2πn ; n∈Z     
  • Добавить свой ответ

Войти через Google

или

Забыли пароль?

У меня нет аккаунта, я хочу Зарегистрироваться

How much to ban the user?
1 hour 1 day 100 years