• СРОЧНО. помогите пожалуйста. вычислите интегралы

    question img

Ответы 1

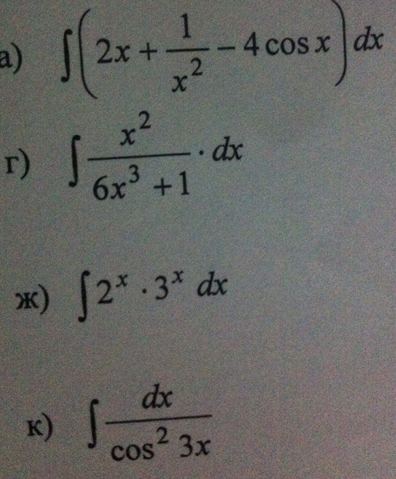
  • а)=2*∫x*dx+∫dx/x²-4*∫cos(x)*dx=2*x²/2-1/x-4*sin(x)+C=x²-1/x-4*sin(x)+Cг)=1/3*∫d(x³)/(6*x³+1)=1/18*∫d(6*x³+1)/(6*x³+1)=1/18*ln/6*x³+1/+Cж)=∫(2*3)ˣ*dx=∫6ˣ*dx=6ˣ/ln6+Cк)=1/3*∫d(3*x)/cos²(3*x)=1/3*tg(3*x)+C
  • Добавить свой ответ

Еще вопросы

Войти через Google

или

Забыли пароль?

У меня нет аккаунта, я хочу Зарегистрироваться

How much to ban the user?
1 hour 1 day 100 years