• Помогите пожалуйста!!!
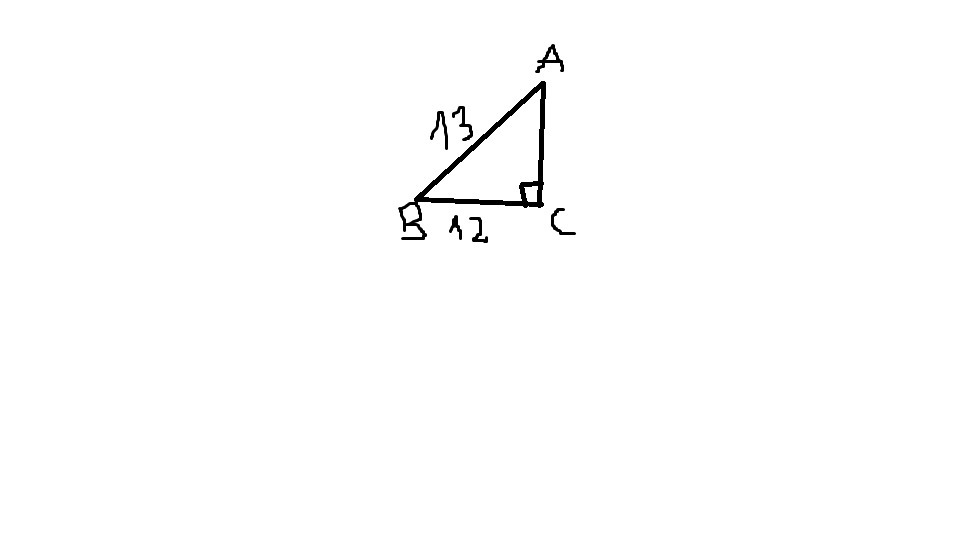
    Найдите площадь прямоугольного треугольника.Изображённого на рисунке.

    question img

Ответы 6

  • прямоугольника*
  • балин
    • Автор:

      foxsuws
    • 6 лет назад
    • 0
  • щас
  • не то
    • Автор:

      ellie
    • 6 лет назад
    • 0
  • площадь прямоугольного треугольника равен 1/2 прямоугольника
    • Автор:

      arturo63
    • 6 лет назад
    • 0
  • по тереме Пифагора найдём сторону АС: АС²=13²-12²=169-144=25АС=5Sтреугольника= (АС*ВС)/2= (12*5)/2= 30 (ед²)
  • Добавить свой ответ

Войти через Google

или

Забыли пароль?

У меня нет аккаунта, я хочу Зарегистрироваться

How much to ban the user?
1 hour 1 day 100 years