• Помогите решить и скажите, какими формулами пользоваться

    question img

Ответы 1

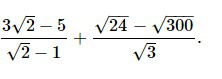
  • √24 =√(6*4) =2√6√300 =√(100*3) =10√3приводим к общему знаменателю ((3√2 -5)*√3 +(2√6 -10√3)*(√2 -1)) /√3(√2 -1) =(3√2*√3 -5√3 +2√(6*2) -2√6 -10√(3*2) +10√3) /√3(√2 -1) =(3√6 -5√3 +4√3 -2√6 -10√6 +10√3) /√3(√2 -1) =(9√3 -9√6) /√3(√2 -1) =9√3(1 -√2) /√3(√2 -1) = -9(√2 -1) /(√2 -1) = -9√a *√b =√(a*b)
    • Автор:

      martin14
    • 6 лет назад
    • 0
  • Добавить свой ответ

Войти через Google

или

Забыли пароль?

У меня нет аккаунта, я хочу Зарегистрироваться

How much to ban the user?
1 hour 1 day 100 years