• Помогите решить пожалуйста )
    Только развёрнутые ответы для контролькной работы
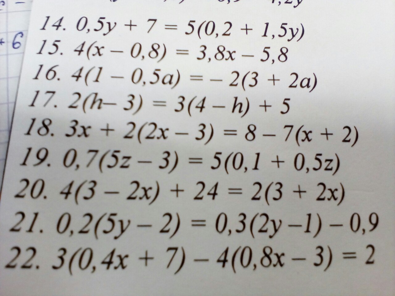
    14 и 15 не нужно

    question img

Ответы 1

  • Надеюсь правильно :) Последний сам сделай
    answer img
    • Автор:

      kirby90
    • 6 лет назад
    • 0
  • Добавить свой ответ

Войти через Google

или

Забыли пароль?

У меня нет аккаунта, я хочу Зарегистрироваться

How much to ban the user?
1 hour 1 day 100 years